2025, 第45卷, 第1期 刊出日期:2025-01-20

  • 全选
    |
    专论与评述
  • 董雁春
    摘要 () PDF全文 () HTML ()

    在全球能源转型加速、环保标准日益严格、产业升级浪潮迭起以及我国供给侧结构性改革深入实施的背景下,乙烯产业链正面临着巨大的变革和重塑。综述了乙烯产业链发展现状,并从政策、需求、供应3个方面分析了乙烯产业链发展趋势,随着“油转化”、炼化一体化的深入推进,产业供需格局已发生根本性转变,乙烯产业链总体向原料多元化(降低生产成本)、产品高端化(提升产品附加值)发展转型,上游乙烷/混合轻烃裂解法占比逐步提升,下游向聚烯烃弹性体(POE)、超高分子量聚乙烯(UHMWPE)、光伏级乙烯-醋酸乙烯酯共聚物(EVA)等高端化工材料延伸趋势明显。针对国内乙烯产业链转型升级,从产业布局、企业转型、科技创新、国际拓展4个方面提出了发展建议。

  • 郭卫广 , 罗大鹏 , 向璟荣 , 佟洪金 , 雍毅
    摘要 () PDF全文 () HTML ()

    为提高钛石膏处置利用水平,推进我国“无废城市”工作,在全国范围内调研了钛白粉行业技术发展现状,全生命周期分析了钛石膏产生、处置和利用技术应用现状。采集了全国30个钛石膏样品并进行成分分析,总结了钛石膏产、排和处置利用面临的问题并提出以下政策建议:引导产业结构调整,源头上实现“无废”,加大废酸回收利用量,过程上尽量“减废”,提升废水清洁化生产水平,以资源回收替代末端治理,探寻钛石膏高质量规模化利用途径,以增效赋值替代传统堆存等。

  • 程海涛
    摘要 () PDF全文 () HTML ()

    对美国环保署(EPA)公布的2024年度美国绿色化学挑战奖(GCCA)获奖成果的创新与价值进行了分析与阐述。Merck & Co.Inc.公司被授予绿色合成路线奖(Greener Synthetic Pathways Award),其创新价值在于发明了一种新的“连续工艺”生产其PD-1疗法KEYTRUDA®(pembrolizumab)用药物。Pro-Farm Group被授予安全与可降解化学品设计奖,开发了一种具有天然杀虫作用的微生物农药RinoTecTM。Viridis化学公司被授予小企业奖,开发了一种利用可再生原料催化合成乙酸乙酯的工艺流程。特拉华大学Dionisios G.Vlachos教授被授予学术奖(Academic Award),开发了利用可再生原料生产润滑油主要化学成分的新合成方法。PhoSul®研究团队被授予环境特别奖,开发了PhoSul®增强型磷矿肥料。

  • 技术进展
  • 王帅 , 任李萍 , 陈春迎 , 王龙飞 , 王奇 , 陈新 , 范金鹏 , 陈杰
    摘要 () PDF全文 () HTML ()

    概述了三维高熵合金材料的合成方法及其在电催化分解水领域的应用研究进展。重点介绍了脱合金法和湿化学法合成三维高熵合金,以及多孔结构、凸立方型结构、介孔球的三维高熵合金在电催化分解水方面所取得的突破性进展。最后指出,三维高熵合金的可控合成方法及其电催化水分解机制方面仍缺少系统性的梳理,在实际应用方面亟待寻找简易、高效的宏量制备方法。

  • 张悦 , 刘鹏霄 , 张旭柳 , 李雨洋 , 刘宁
    摘要 () PDF全文 () HTML ()

    基于压电光催化技术的发展背景总结了其工作原理;对几种不同的压电光催化材料进行了介绍,并综述了其在环境水处理、气体净化、能源析氢等领域的研究进展;阐明了压电-光催化材料面临的问题并对其未来发展提出了建议,为压电光催化材料的设计和深入研究提供参考。

  • 岳鑫朋 , 张新儒 , 王永洪
    摘要 () PDF全文 () HTML ()

    分析了聚酰亚胺近程结构和远程结构对炭分子筛膜结构与性能的影响,提出了理想聚酰亚胺结构应具备的特点,并对未来炭分子筛膜的发展做出展望。

  • 桑安 , 曹俊雅 , 张莉昕 , 毛文政 , 张广积
    摘要 () PDF全文 () HTML ()

    介绍了磷石膏所含杂质及其对环境带来的危害,并阐述了磷石膏的几种预处理方法。依托VOS viewer可视化软件,对磷石膏资源化利用现状进行了分析,利用方向主要集中在农业、建筑材料、化工原料等方面。最后展望了未来磷石膏利用的技术创新方向,包括环境功能材料的制备和路基磷石膏基材料的开发等。

  • 李钟帆 , 竺新波 , 邬晨 , 洪瑜
    摘要 () PDF全文 () HTML ()

    分析了不同放电形式的等离子体在氨分解领域的研究现状,着重讨论了介质阻挡放电等离子体的反应器结构参数和运行工况对氨分解效果的影响。分析了等离子体协同各类催化后对氨分解过程的影响规律和强化机制,指出通过催化剂的载体、金属活性组分等的调控优化可有效强化等离子体与催化剂的协同效应,进而提升氨分解效果并降低反应能耗。在此基础上,指出改进介质阻挡放电反应器和开发低温下高效的廉价过渡金属催化剂是基于等离子体的氨分解制氢方法的重要发展方向。

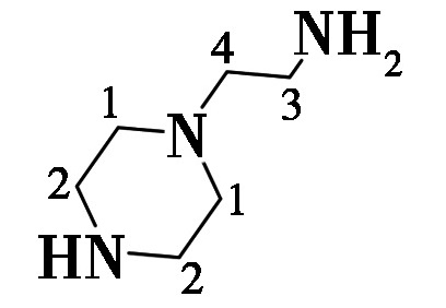
  • 孔明 , 梁启晨 , 吴勇 , 刘帅 , 蔡旺锋
    摘要 () PDF全文 () HTML ()

    介绍了哌嗪与CO2反应的机理。总结了单组分哌嗪衍生物、含哌嗪类有机胺的混合胺液吸收剂、哌嗪类有机胺与无机类溶剂混合吸收剂、哌嗪浸渍改性固体类吸附剂捕集CO2的优劣。并对哌嗪类衍生物吸收剂捕集CO2研究提出了展望。

  • 陈翔宇 , 韦文龙 , 刘子儒 , Pier-Luc Tremblay , 张甜
    摘要 () PDF全文 () HTML ()

    对近年来基于金属有机框架的光催化抗菌材料进行了梳理,包括掺杂金属纳米粒子的MOFs材料、异质结MOFs材料、卟啉基MOFs材料以及其他MOFs材料,旨在为相关领域的研究与实践提供参考。

  • 屈皓 , 李玉霞 , 刘玉香
    摘要 () PDF全文 () HTML ()

    回顾了生物质光发酵制氢的最新研究进展,对生物质预处理技术、制氢过程优化和工艺整合进行了总结分析,在此基础上,从提升制氢效率同时降低能耗方面对生物质光发酵制氢技术的未来发展做出展望。

  • 黎耀文 , 李潜 , 朱静 , 张国伟 , 丁丹妮 , 李杰 , 梅丹娅
    摘要 () PDF全文 () HTML ()

    综述了膜蒸馏(MD)技术在垃圾渗滤液反渗透浓水处理及渗滤液原液处理方面的应用研究进展,从无机、有机、生物污染3个方面系统分析了MD技术用于工业化垃圾渗滤液处理所面临的膜污染问题,并进一步从污水预处理、抗污染膜材料组件开发和膜污垢清洗方面对MD技术用于垃圾渗滤液处理的膜污染控制进行了探讨与建议。

  • 李子庆 , 董琪 , 黄奕 , 陶义杰 , 张家驿 , 王启
    摘要 () PDF全文 () HTML ()

    针对LiNixCoyMn1-x-yO2、LiFePO4、LiMn2O4、LiCoO2 4大类锂离子电池正极材料中的目标金属的回收研究现状进行了详细阐述。首先是处理流程的难易程度直接关系到回收成本和效率;其次对不同回收工艺中目标金属的提取以及对环境的影响等进行了全面分析;最后对比了不同回收工艺的优缺点,发现每种工艺都有其独特的适用场景和局限性。未来要实现退役锂离子电池的高效、环保处理,需要整合各种工艺的优点,创新回收技术。

  • 代元元 , 杨京林 , 牛强
    摘要 () PDF全文 () HTML ()

    概述了近年来国内外铜催化剂在乙炔氢氯化反应中的研究进展,综述了铜催化剂的几种改性手段,探讨了催化剂的工业应用情况,分析了铜催化剂工业应用的安全风险问题。研究表明,经过适当改性,铜催化剂具备工业应用潜力,且在实际工业生产中通过严格控制工艺指标可避免铜工业应用的安全风险问题。

  • 耿龙 , 钱鑫 , 任喜彦 , 屠晶 , 李振国
    摘要 () PDF全文 () HTML ()

    重点介绍了共轭微孔聚合物(CMPs)的可控合成现状,回顾了CMPs在化学传感器、重金属离子吸附、催化、太阳能界面蒸发和阻燃材料方面的应用,并指出CMPs未来的发展方向应侧重于研究绿色、廉价的合成路径以降低制造成本、提升制造规模,同时考虑高性能膜材料或块状材料的开发以进一步丰富CMPs的使用场所。

  • 科研与开发
  • 王明华 , 赵喆 , 张文浩 , 王英鹏 , 顾军 , 王泓鉴
    摘要 () PDF全文 () HTML ()

    采用水热法制备并表征了铁钴镍系列氢氧化物催化剂,考察了铁钴镍催化剂摩尔分数对泡沫镍电极电催化性能的影响。结果表明,铁钴镍系列氢氧化物催化剂的最佳制备条件为: 水热温度60℃、持续时间8 h,此时得到的样品比表面积最大,为59.61 m2/g;25 mA/cm2的电流密度下60%摩尔分数的Ni样品的析氧电位仅为1.35 V;Co(OH)2摩尔分数为20%的催化剂在25 mA/cm2的电流密度下最低析氧电位仅为1.33 V,过电位为100 mV;而20% Fe(OH)3的样品表现出最低的阻抗。将优化成分后的铁钴镍(摩尔比为2∶2∶6)系氢氧化物催化剂作为测试样品涂覆在镍网电极上,在大面积电极下,电流密度为 2 000 A/m2时小室电压为1.71 V左右、过电位为420 mV。

  • 孙公全 , 尚森森 , 赵卿波 , 李晓盼 , 刁晶晶 , 吕小军 , 李翔
    摘要 () PDF全文 () HTML ()

    以氢氧化钠、甲醇钠、乙醇钠和叔丁醇钾等固体碱以及AlCl3、FeCl3、ZnCl2和CuCl2等固体Lewis酸作催化剂,以摩尔分数为1%的己硫醇/苯乙烯溶液作模型油品,研究了硫醇在这些固体酸碱上的反应。结果表明,甲醇钠和乙醇钠以及FeCl3能够在室温下高活性地催化苯乙烯中少量己硫醇转化为二己基二硫醚和1-苯乙基己硫烷等大分子高沸点的含硫化合物,并可以通过后续精馏从苯乙烯中分离,为苯乙烯反应脱除硫醇硫提供了可行的方法。固体碱只催化了己硫醇的氧化反应,其活性与碱性和结构都有关,具有较强碱性和较小空间位阻的甲醇钠和乙醇钠表现出最佳的催化性能。FeCl3既催化了己硫醇的氧化反应,也催化了己硫醇与苯乙烯的加成反应;CuCl2也表现出很高的催化己硫醇氧化的活性,起到反应物或氧化剂的作用,可将己硫醇氧化成二己基二硫醚,同时释放出HCl,与苯乙烯反应生成1-氯-1-苯乙烷。

  • 杨佳楠 , 史建强 , 杨凯鑫 , 王兵 , 鲍卫仁 , 王建成
    摘要 () PDF全文 () HTML ()

    为了提高MnCe基氧化物低温SCR脱硝和抗SO2中毒能力,在分子筛上负载金属氧化物制备了MnCeOx/SSZ-13催化剂,探究了不同MnCeOx负载量和分子筛硅铝比对催化剂脱硝活性和抗硫性能的影响。结果表明,当MnCeOx相对于SSZ-13的投料比为20%时,催化剂具有最佳的脱硝性能,在180~400℃范围内NO转化率大于90%,在100~250℃范围内N2选择性为100%。在200℃通入100 μL/L SO2后,NO转化率可维持在80%左右。MnCeOx负载量增高有助于增强NO转化率,但是N2选择性会略有下降;随着酸洗时间延长,酸溶液浓度提高,SSZ-13的硅铝比降低,催化剂的NO转化率、N2选择性和抗硫中毒能力均有所下降。MnCeOx提供了表面活性氧物种,可以在低温下活化NO和O2,提高低温SCR活性;SSZ-13分子筛提供了酸性位来吸附NH3,同时分子筛的限域效应有助于提高催化剂的抗SO2中毒性能。

  • 张刚 , 范旭卓 , 张鉴定 , 何雨晴 , 郑栋 , 程盛
    现代化工. 2025, 45(1): 100-104. https://doi.org/10.16606/j.cnki.issn0253-4320.2025.01.019
    摘要 () PDF全文 () HTML ()

    超薄二维纳米片因其独特的尺寸依赖性而引起了人们的关注。然而,超薄纳米片合成方法以及纯的超薄片性能有待优化。建立了一种易于制备的不同Mo物质的量掺杂FeS超薄纳米片的合成方法,通过Mo掺杂FeS超薄纳米片调节活性位点的电子结构和环境、缓冲多种反应中间体、促进N2的吸收、降低电位测定步骤的能垒、加速催化过程来提高电催化氮还原反应(eNRR)的活性和选择性。结果表明,无贵金属催化剂Mo-FeS在eNRR中表现出高效催化性能,在0.1 mol/L Na2SO4、 -0.1 V下(相对可逆氢电极)产氨速率为10.79 μg/(h·cm2)。

  • 孟德轩 , 李振京 , 范广新 , 蔡海洋 , 刘超帅
    现代化工. 2025, 45(1): 105-111. https://doi.org/10.16606/j.cnki.issn0253-4320.2025.01.020
    摘要 () PDF全文 () HTML ()

    以TiO2为添加剂,利用高温固相法对锂离子电池正极材料LiNi0.75Mn0.25O2进行掺杂,通过XRD、SEM、XPS和电化学测试等对材料进行表征。结果表明,Ti4+可成功掺入LiNi0.75Mn0.25O2中,在掺杂的Li[Ni0.75Mn0.25] 1-xTixO2(0≤x≤0.02)中,Ti4+不改变材料的物相和形貌,但对电化学性能有较大影响。在最佳掺Ti4+摩尔分数为1.5%时,经50周循环后材料的容量保持率由87.87%提高到95.42%,4 C放电比容量由66.47 mAh/g提升为104.00 mAh/g。

  • 董臻 , 吴邦军 , 王重权 , 许冠南 , 刘争 , 张业龙
    现代化工. 2025, 45(1): 112-115. https://doi.org/10.16606/j.cnki.issn0253-4320.2025.01.021
    摘要 () PDF全文 () HTML ()

    针对较大尺寸的钾离子在钾离子电池充放电过程中导致负极扩散动力学缓慢并伴随着剧烈的体积变化问题,制备了NbTe2纳米针垂直生长在MXene纳米片上的三维超结构NbTe2/MXene。结果表明,该三维超结构具有优异的循环稳定性和倍率性能,在0.2 A/g的电流密度下循环150圈后,可逆比容量仍达到306.8 mAh/g,容量保持率为68.4%,平均每圈容量损耗率仅为0.21%。即使在20 A/g的大电流密度下仍展现出139.8 mAh/g的可逆容量。该超结构具有比表面积大、良好的电子导电性和多活性位点等诸多优势,能够提高钾离子电池的性能,为高性能负极材料的开发提供参考。

  • 李勇 , 高晶 , 李慧敏 , 肖华盛 , 陈天翔 , 陈鑫智
    现代化工. 2025, 45(1): 116-122. https://doi.org/10.16606/j.cnki.issn0253-4320.2025.01.022
    摘要 () PDF全文 () HTML ()

    为解决甲烷部分氧化反应制合成气中的过度氧化问题,通过引入混合导体透氧膜反应器与甲烷部分氧化反应的耦合,提高合成气的选择性。以Ni/γ-Al2O3和Ni/SBA-15为催化剂对膜反应器性能进行测试。结果表明,Ni/SBA-15催化剂的介孔结构在测试后坍塌,性能下降。而在950℃下,以Ni/γ-Al2O3为催化剂的膜反应器甲烷转化率达92%,CO选择性高达99%。经500 min稳定性测试,膜反应器展现出良好的甲烷转化率和化学稳定性。

  • 郭日凯 , 霍雨 , 乔文明 , 余子舰 , 张寅旭
    现代化工. 2025, 45(1): 123-130. https://doi.org/10.16606/j.cnki.issn0253-4320.2025.01.023
    摘要 () PDF全文 () HTML ()

    以无烟煤为前驱体,研究了煤化程度、灰分、石墨化温度等对无烟煤石墨化的影响机制以及煤基石墨微观结构与电化学性能之间的“构效”关系。结果表明,煤化程度高的无烟煤有利于煤基石墨的微晶生长,在相同温度下能够达到更高的石墨化程度。太西煤在2 400℃石墨化后,石墨化度为80.3%,而晋城煤石墨化度仅为74.5%。无烟煤中的灰分有催化石墨化作用,未脱灰样品在低温下石墨化程度较高,具有较高的首次充放电容量;同时灰分的存在会影响煤基石墨的片层结构,使石墨片层存在褶皱,导致煤基石墨的循环稳定性和倍率性能下降。煤基石墨的石墨化度随温度升高而增加,石墨片层结构逐渐发展,电化学性能得到明显提升。脱灰太西煤经2 800℃石墨化处理后所得煤基石墨在0.2 C的首次放电容量达370.8 mAh/g。

  • 陈志佳 , 王盛 , 杨本群 , 杨慧敏
    现代化工. 2025, 45(1): 131-136. https://doi.org/10.16606/j.cnki.issn0253-4320.2025.01.024
    摘要 () PDF全文 () HTML ()

    采用硝酸对生物质基活性炭进行改性处理引入含氧基团(SOGs),研究了碳材料表面官能团对催化苯甲醇氧化反应性能的调控作用。通过SEM、XRD、XPS等对制备的催化剂进行表征,考察了硝酸浓度对活性炭表面氧化基团的影响。结果表明,当用浓度为1.5 mol/L的HNO3处理活性炭时,煅烧后所得催化剂AC-1.5催化苯甲醇氧化反应的转化率为94%,选择性为99%,使用5次后仍保持活性,这主要与AC-1.5中羰基含量高有直接关系。该研究结果为开发高效、低成本的生物质基催化剂提供参考。

  • 薛英茹 , 周浩 , 周卫强 , 刘海军 , 李义 , 李非
    现代化工. 2025, 45(1): 137-142. https://doi.org/10.16606/j.cnki.issn0253-4320.2025.01.025
    摘要 () PDF全文 () HTML ()

    通过酶解法从嗜盐菌发酵液中获得高纯度、高分子质量的聚-3-羟基丁酸酯(PHB),分别采用高温处理与胞壁酸酶酶解2种方法对嗜盐菌细胞进行破壁,再通过中碱性蛋白酶进一步酶解纯化。结果表明,121℃下高温处理可有效实现嗜盐菌细胞破壁,但高温环境使PHB分子质量降低了30%~40%;在50℃、pH6条件下添加0.3%胞壁酸酶酶解60 min破壁效果最好,且分子质量可维持在10%以内;在70℃、pH 10条件下添加0.045%中碱性蛋白酶酶解60 min纯化效果最好,所得PHB纯度可达97%以上。最后与市售PHB进行对比,确认了所得PHB的化学结构及热性能。酶的特异性水解保证了PHB结构不受破坏,胞壁酸酶-中碱性蛋白酶结合酶解法可以得到高纯度、高分子质量的PHB,无需其他化学试剂辅助。

  • 汤静洁 , 彭其达 , 张平军 , 黄冬婷 , 秦健南 , 李明富
    现代化工. 2025, 45(1): 143-148. https://doi.org/10.16606/j.cnki.issn0253-4320.2025.01.026
    摘要 () PDF全文 () HTML ()

    为改善碳基固体酸制备工艺并扩大其在生物基化学品合成领域的应用,利用L-抗坏血酸与对甲苯磺酸(TsOH)直接研磨共混并结合低温碳化制备了多层碳基固体酸催化剂,探究了催化剂制备条件及催化反应条件对果糖转化率和5-羟甲基糠醛(HMF)产率的影响。利用SEM、TG和FT-IR对催化剂进行表征与分析。结果表明,随着酸用量的增加,碳基固体酸形貌由多层片状变为块状,且其内部含有大量多孔结构;催化剂的热分解温度随着酸用量的增加而升高;碳基固体酸表面含有磺酸基、羧基和羟基。碳基固体酸催化果糖合成HMF最佳条件为: TsOH质量为1.5 g、催化剂质量为50 mg、果糖质量为90 mg、反应温度为120℃、反应时间为60 min,此时果糖转化率达到100%,HMF产率为98.5%。

  • 吴允龙 , 江晓雪 , 郭旗 , 李翠芹
    现代化工. 2025, 45(1): 149-155. https://doi.org/10.16606/j.cnki.issn0253-4320.2025.01.027
    摘要 () PDF全文 () HTML ()

    富镍层状正极材料(LiNi0.8Co0.1Mn0.1O2,NCM811)因具有极高的充放电比容量被广泛关注,但是其在循环过程中面临着严重的结构退化以及界面不稳定的问题。采用多步煅烧法协同球磨法成功制备了单晶NCM811正极材料(SC-NCM),并对其电化学性能进行了测试。结果表明,以SC-NCM为正极、锂片为负极组装的半电池首圈库伦效率为85.4%,在1C循环200次后拥有86.2%的容量保持率;以石墨为负极、SC-NCM为正极组装的全电池在相同的测试条件下达到了94.1%的容量保持率。通过对比传统NCM811(PC-NCM)与SC-NCM在循环期间的差异,分析得出对高镍三元正极材料长循环稳定性最大的影响因素;同时提出了多步煅烧法协同球磨法合成SC-NCM正极材料的新策略,以加速NCM811商业化。

  • 张艳华 , 钱建华 , 李君华 , 张丹
    现代化工. 2025, 45(1): 156-162. https://doi.org/10.16606/j.cnki.issn0253-4320.2025.01.028
    摘要 () PDF全文 () HTML ()

    通过一步法合成了AA-AlCl3、NMA-AlCl3、DMA-AlCl3类离子液体催化剂。利用拉曼光谱仪、紫外-可见光谱仪、红外光谱仪、核磁氢谱仪、凝胶色谱仪、高温气相色谱仪等对类离子液体催化剂及其合成的聚α-烯烃基础油(PAO)进行表征分析。结果表明,双齿配位的NMA-AlCl3具有适宜的酸性,其催化聚合的较优条件为n(NMA)∶n(AlCl3)=1∶2、催化剂质量分数为1%、反应温度为120℃、反应时间为60 min,可得到产率为87%、色度为0、凝点低于-60℃、黏度指数为135、多分散指数(PDI)=1.3、100℃运动黏度为4.3 mm2/s的低黏度基础油。与市售PAO4基础油进行摩擦性能对比发现,聚合产品磨斑直径比市售PAO4降低了13%,说明其除具有优异的理化性能外,还具有良好的减摩抗磨性能。

  • 秦森 , 戴姗姗 , 范伟 , 李梅 , 杨嘉龙
    现代化工. 2025, 45(1): 163-169. https://doi.org/10.16606/j.cnki.issn0253-4320.2025.01.029
    摘要 () PDF全文 () HTML ()

    液-液相变吸收剂作为碳捕集领域最具节能潜力的新兴吸收剂仍存在CO2容量有限、腐蚀性强等缺点。以富含氨基的聚酰胺-胺树状大分子(PAMAM)为阳离子、具有含N杂环的2-甲基咪唑(2-MI)为阴离子合成离子液体(ILs),并与水和二乙二醇丁醚(DGBE)构建液-液相变吸收剂。以多氨基协同吸收的方式大幅度提升CO2吸收性能,其CO2容量可达4.98 mol CO2/mol ILs,富CO2相体积分数仅为28.7%,且腐蚀性仅为单乙醇胺(MEA)溶液的13.87%。13CNMR分析结果表明,吸收机理遵循两性离子机理及碱性水合机制。用Kamlet-Taft法量化极性发现,相分离现象的发生与极性、密度、黏度变化密切相关。

  • 张伟腾 , 郑奥 , 从怀萍
    现代化工. 2025, 45(1): 170-177. https://doi.org/10.16606/j.cnki.issn0253-4320.2025.01.030
    摘要 () PDF全文 () HTML ()

    采用酸刻蚀和高温热分解法合成了2D超顺磁性Fe3O4-MXene纳米片,以Fe3O4-MXene纳米片和聚N-异丙基丙烯酰胺(PNIPAM)为原料开发了一种各向异性梯度水凝胶致动器。结果表明,Fe3O4-MXene纳米片在水凝胶前溶液中垂直向下移动,产生增量含量梯度,交联固定后得到各向异性梯度的网络结构。水凝胶在厚度上形成不同尺寸的孔径,在远离磁体的一侧孔具有相对较大的尺寸,约有50μm,在靠近磁体附近尺寸逐渐减小到约5 μm。Fe3O4-MXene纳米片赋予水凝胶优异光热效应,在近红外光的照射下能够实现多种可逆的形状变化和仿生软机器人的功能。

  • 杨智程 , 岳琳 , 王梦菲 , 廉静 , 罗晓 , 刘艳芳
    现代化工. 2025, 45(1): 178-183. https://doi.org/10.16606/j.cnki.issn0253-4320.2025.01.031
    摘要 () PDF全文 () HTML ()

    以对苯二甲酸(PTA)和二甲基咪唑(2-MI)为竞争配体,采用溶剂热法制备了新型Sn基双配体金属有机骨架光催化剂(Sn-PTA-MI)。利用XRD、SEM、FT-IR、DRS和电化学测试对制备的光催化剂进行形貌、结构表征以及能带分析。以阳离子型染料罗丹明B(Rh B)为目标污染物,考察了不同因素对光催化剂活性的影响。结果表明,当PTA和2-MI的投加摩尔比为2∶3、催化剂投加质量浓度为1.50 g/L时,光催化40 min后Rh B的去除率达到99%以上,并且反应受pH影响较小。参与催化降解反应的主要活性组分为·O2-,其次是h+

  • 李志义 , 孙赫 , 孙海礼 , 魏炜 , 刘凤霞 , 刘志军
    现代化工. 2025, 45(1): 184-189. https://doi.org/10.16606/j.cnki.issn0253-4320.2025.01.032
    摘要 () PDF全文 () HTML ()

    磷酸镍锂(LiNiPO4)是一种具有5.1 V高电压平台的橄榄石类锂离子电池正极材料,由于较低的电导率和实际放电比容量限制了其实际应用。为了制备纯相LiNiPO4,考察了不同摩尔比表面活性剂油胺对LiNiPO4的影响,油胺添加摩尔比[n(油胺)∶n(金属)]为10∶1制备的材料结晶度最佳,经过煅烧工艺参数优化成功获得纯相LiNiPO4。为了改善LiNiPO4的电化学性能,首次采用乙基纤维素为碳源制备的掺有Fe摩尔分数为6%的LiFe0.06Ni0.94PO4/C并将其电化学性能与纯相LiNiPO4进行比较,结果表明,采用乙基纤维素制备的LiFe0.06Ni0.94PO4/C具有更大的初始放电比容量、更小的电荷转移电阻,其中10%乙基纤维素添加量的样品电化学性能最佳。

  • 张梅 , 李博 , 甘磊 , 尤涵博 , 赵维雪
    现代化工. 2025, 45(1): 190-194. https://doi.org/10.16606/j.cnki.issn0253-4320.2025.01.033
    摘要 () PDF全文 () HTML ()

    通过溶剂热法合成了双金属有机框架MIL-53(Fe、Al)亲水性材料,与聚砜(PSf)共混并通过非溶剂致相分离法制备MIL-53(Fe、Al)/PSf共混膜。探究了MIL-53(Fe、Al)的添加质量分数对共混膜的结构和亲水性、渗透性、截留性以及抗污染性能的影响。结果表明,当MIL-53(Fe、Al)的添加质量分数为0.3%时,与原膜相比,水接触角降低了28.81°,达到54.78°;纯水通量提高了10.21倍,达到179.15 L/(m2·h·bar)。MIL-53(Fe、Al)的加入,显著提高了PSf超滤膜的亲水性和抗污染性能。

  • 徐晨霞 , 吕建华 , 刘继东 , 郭豹 , 李文松
    现代化工. 2025, 45(1): 195-200. https://doi.org/10.16606/j.cnki.issn0253-4320.2025.01.034
    摘要 () PDF全文 () HTML ()

    采用改性后的聚苯乙烯树脂CPS为载体,制备了CPS固载3种不同离子液体的催化剂;在无助剂条件下催化CO2和环氧丙烷(PO)转化为碳酸丙烯酯(PC)。利用FT-IR、XPS、SEM、TG对不同催化剂进行表征分析,并比较了3种催化剂的催化性能。结果表明,CPS-Imi/COOH表现出最好的催化活性,这是由于—COOH通过形成氢键对PO的C—O键具有较强的极化能力;Br-对PO的亲核攻击也是其容易开环的重要因素。考察了不同反应条件下CPS-Imi/COOH对PO转化率和PC选择性的影响,在110℃、2.5 MPa、3 h的反应条件下,PO转化率为95.8%,PC选择性为98.8%;催化剂循环使用6次后仍保持良好的催化性能。

  • 毛波 , 谢永刚 , 赵堃 , 张盼 , 何芳 , 陆江银
    现代化工. 2025, 45(1): 201-206. https://doi.org/10.16606/j.cnki.issn0253-4320.2025.01.035
    摘要 () PDF全文 () HTML ()

    通过水热合成法成功制备出二维六方介孔SBA-15分子筛,采用等体积浸渍法将2.0% Co分别负载于SBA-15、SiO2、Al2O3、SBA-15S(商业SBA-15)、ZSM-5、SAPO-34等6种载体上,用于丙烷脱氢制丙烯反应,考察其催化性能及构效关系。结果表明,Co/SBA-15表现出最佳的稳定性及催化性能,丙烷最高转化率可达到45.45%,丙烯选择性为87.25%,丙烯最高收率为39.66%。Co/SBA-15催化剂具有独特的织构性质,既保证了反应物的吸附与活化,又保证了孔道不被堵塞,有利于反应物在其表面进行较快的扩散,表现出最优异的催化性能。

  • 冯晴晴 , 何德民 , 范玉强 , 关珺
    现代化工. 2025, 45(1): 207-213. https://doi.org/10.16606/j.cnki.issn0253-4320.2025.01.036
    摘要 () PDF全文 () HTML ()

    采用三电极体系的H型隔膜电解池对腐植酸(humic acid,HA)在碱性条件下的电化学氧化过程进行动力学研究,考察了温度、阳极电位、碱液质量浓度对电化学氧化反应的影响。结果表明,HA电化学氧化符合二级反应动力学模型,活化能为19.94 kJ/mol,各反应条件对HA进一步氧化成高附加值的煤酸(CA)有不同程度的影响。对各反应条件下的氧化过程进行分析发现,温度影响分子间键能和双电层充放电速率;阳极电位影响相应的电流密度,进而影响电子转移效率;碱液质量浓度改变溶液的电导性。HA电化学氧化后分子结构发生改变,可为进一步研究煤电化学氧化这一复杂反应提供参考。

  • 李欢 , 周继承
    现代化工. 2025, 45(1): 214-219. https://doi.org/10.16606/j.cnki.issn0253-4320.2025.01.037
    摘要 () PDF全文 () HTML ()

    以FeCl3和鳞片石墨为原料,通过改进熔融盐法制得高导电的FeCl3插层的石墨层间化合物(FeCl3-GICs);将其作为导电填料,以聚偏二氟乙烯(PVDF)为基体,制备了具有各向异性导电的FeCl3-GICs/PVDF复合导电膜。利用多种表征方法对所制备的FeCl3-GICs填料及复合导电膜进行结构分析和性能评测。结果表明,FeCl3-GICs产品层间距从石墨原料的0.335 nm增加至0.94 nm;其粉末电导率从石墨原料的2.86×104 S/m提高到9.09×104 S/m,导电性能提高3倍以上。以FeCl3-GIC为导电填料制备的复合导电膜不仅可以将PVDF膜的水平方向电导率提高10个数量级,且具有电导率分布的各向异性;此外,复合导电薄膜表现出极好的柔性与稳定性,具有良好的应用潜力。

  • 丁笑含 , 赵林飞 , 袁章福 , 田越 , 徐秉声
    现代化工. 2025, 45(1): 220-224. https://doi.org/10.16606/j.cnki.issn0253-4320.2025.01.038
    摘要 () PDF全文 () HTML ()

    为了提高Sn基材料表面CO2电化学还原为甲酸盐的法拉第效率,利用一步溶剂热法合成了具有丰富硫空位的Cu掺杂SnS2纳米花(Cu-SnS2-x)催化剂,在较宽的电位窗口实现了CO2电化学还原制备甲酸盐。结果表明,通过调控催化剂制备过程中Cu和Sn的摩尔比,在-1.1 V vs.RHE电位条件下得到了72.64%的FEformate,电流密度Jformate达到-14.38 mA/cm2。二维纳米片阵列增加了催化活性位点,Cu掺杂所产生的硫空位能够协同提高催化活性、促进电子转移,从而提高甲酸盐的选择性。

  • 工业技术
  • 周慧娣 , 杨昱 , 徐祥健 , 邓圣 , 夏甫 , 韩旭 , 肖瀚 , 姜永海
    现代化工. 2025, 45(1): 225-231. https://doi.org/10.16606/j.cnki.issn0253-4320.2025.01.039
    摘要 () PDF全文 () HTML ()

    选择可渗透反应墙(PRB)耦合抽出-注入水力控制技术对地下水进行修复,利用GMS软件MODFLOW和MT3DMS模块建立假想场地的水流模型以及污染物的溶质运移模型,基于该技术修复效果的关键影响因素(地下水水动力条件、水文地质条件和修复材料污染物去除性能)设置不同情景,对比分析不同情景的模拟结果,通过数据分析拟合推导出污染物去除率r与抽出-注入量Q、含水层渗透系数K、污染物去除效率η之间的定量关系表达式,指导该技术在实际场地应用时的关键参数设置。以山东某石化污染场地为例进行对比实验,发现修复2 a后耦合修复技术和单一修复技术的污染物去除率分别为75.2%~80.1%和12.9%~14.7%,表明耦合修复技术在渗透性较差、水力梯度较小的污染场地修复效果明显好于单一修复技术。

  • 李博 , 孙昊 , 陈衡 , 王奕楠 , 孙颖 , 刘文毅
    现代化工. 2025, 45(1): 232-238. https://doi.org/10.16606/j.cnki.issn0253-4320.2025.01.040
    摘要 () PDF全文 () HTML ()

    为提升生物质制备甲醇的效率并减少碳排放,提出了一种基于生物质秸秆气化的绿色甲醇制备系统。该系统以生物质为碳源,利用碱性电解水制取绿氢,并形成调节合成气制备绿色甲醇。通过Aspen Plus模拟系统流程,结果表明,虽然电解水增加了厂用耗电量,但新提出的系统在碳转化率和综合能源效率方面均得到显著提升,分别为65.41%和69.47%。系统的㶲效率为67.26%,显示该系统对有效能的利用率较高。系统动态回收周期为8.62 a,净现值为210.11万美元,单位产品能耗量为4.07 MWh,且单位能耗二氧化碳排放量低至0.04 t/GJ,表明该系统在经济效益以及环境保护方面具有一定优势。

  • 肖荣鸽 , 李雨泽 , 刘亚龙 , 刘鸿嘉
    现代化工. 2025, 45(1): 239-244. https://doi.org/10.16606/j.cnki.issn0253-4320.2025.01.041
    摘要 () PDF全文 () HTML ()

    为了降低单一工艺中提氦的能量消耗及设备成本、使氮气循环膨胀制冷提供的冷量得到更加充分的利用,将自产冷剂制冷+膨胀制冷+冷箱集成换热的直接换热(DHX)轻烃回收工艺与天然气低温提氦工艺相结合,设计出一种可以同时生产C3+、粗氦以及LNG的联产工艺。通过对关键参数影响因素分析,确定了膨胀机出口的压力为1.2 MPa、DHX塔顶回流温度为-70℃、一级提氦塔进料温度为-50℃、压缩泵出口压力为5 MPa、低温分离器进料温度为35℃、制冷剂流量为4 000 kmol/h。模拟计算得出,联产工艺C3+回收率为78.95%、粗氦回收率为93.77%、粗氦浓度为60.43%、LNG产量为663.84 kmol/h。联产工艺与单一工艺相比总压缩机能耗降低了12.95%、单位综合能耗降低14.10%。研究表明,联产轻烃回收与LNG提氦工艺在能耗和投资成本方面具有较大优势,具有一定的经济价值。

  • 张娟 , 李朋飞 , 刘平 , 罗天娥 , 张照健 , 姚楠 , 张书华
    现代化工. 2025, 45(1): 245-249. https://doi.org/10.16606/j.cnki.issn0253-4320.2025.01.042
    摘要 () PDF全文 () HTML ()

    为降低综合能耗,在构建RSV乙烷回收模拟流程的基础上,通过Plackett-Burman设计完成关键参数的分析和筛选,通过ELM模型实现输入与输出参数之间的非线性映射,最后基于改进哈里斯鹰(IHHO)算法实现ELM模型的优化及最优工艺参数的求解。 结果表明,原料气流量、脱甲烷塔压、原料气温度、干气回流比、低温分离器气相分流比、低温分离器温度和膨胀机出口压力等因素对综合能耗的影响较大,应纳入ELM模型数据库作为输入变量;对于综合能耗的预测,IHHO-ELM模型在训练集、验证集和测试集上的相关系数分别为0.992 1、0.987 6、0.985 5,预测效果最优;参数优化后,乙烷收率降低了2.38%,液化石油气和稳定轻烃的产品指标变化不大,综合能耗可减少23.62%。

  • 马达夫 , 温霄瑨 , 闻哲 , 吴何来 , 丁先 , 李汪繁 , 刘平元
    现代化工. 2025, 45(1): 250-255. https://doi.org/10.16606/j.cnki.issn0253-4320.2025.01.043
    摘要 () PDF全文 () HTML ()

    介绍了生物质气化+变换及CO合成、生物质气化后双合成、生物质气化加氢合成、生物质直燃碳捕集加氢4种主要技术方案,对技术应用方案的物料平衡和经济性进行了计算,并对各方案的可行性进行了对比分析。结果表明,在具备CO2消纳条件时,可采用生物质气化、变换及CO合成方案,甲醇的生产成本为3 608元/t;在有新能源场景的前提下,可考虑3万~10万t的气化后双合成方案,生产成本为3 694~3 768元/t;待CO2、CO、H2合成甲醇的催化剂较成熟后,可考虑气化后加氢合成方案,生产成本为2 648~3 027元/t,即使采用传统电价计算时经济性也较高;当电价降低至0元时,生物质直燃碳捕集加氢方案的生产成本将降至1 555元/t。

  • 分析测试
  • 李小辉 , 袁润蕾 , 韩瑞 , 张芳 , 冯兰慧 , 王亚萍 , 张辰子
    现代化工. 2025, 45(1): 256-260. https://doi.org/10.16606/j.cnki.issn0253-4320.2025.01.044
    摘要 () PDF全文 () HTML ()

    建立了电感耦合等离子体质谱法同时测定水体中铬、铜、锌、铅、镉、镍、钼7种重金属元素含量的分析方法,在最佳的分析条件下,在一定的浓度范围内所分析的7种重金属元素具有良好的线性关系,相关系数均大于0.999 9,方法检出限为0.03~0.11 μg/L。对水质标准物质进行测定,各元素的测定值与认定值之间无显著性误差,测定结果的相对标准偏差RSD(n=6)为0.67%~4.08%;通过对实际样品进行加标回收实验,加标回收率为94.0%~107%;同时还对不同类型的水样进行分析,结果表明该方法具有较宽的动态线性范围,可满足各种类型水样中多种重金属元素的同时测定。

  • 徐彦 , 杨继伟 , 李剑 , 徐巧 , 俞晓峰 , 姜佳钦
    现代化工. 2025, 45(1): 261-265. https://doi.org/10.16606/j.cnki.issn0253-4320.2025.01.045
    摘要 () PDF全文 () HTML ()

    建立了基于全自动加速溶剂萃取-超高效液相色谱-串联质谱法检测水体沉积物中17种新烟碱类杀虫剂及代谢物残留的分析方法,17种目标物的质量浓度在一定范围内与对应的峰面积呈线性关系,该方法的检出限(3.143s)为0.000 7~0.002 2 μg/kg。在0.02、0.2、1.5 μg/kg加标水平下的平均回收率为82.70%~114.30%,日内精密度和日间精密度的相对标准偏差分别为1.4%~9.4%和3.8%~9.7%。